

EN 342:2017 Vernetøy
- Antrekk og klesplagg for beskyttelse mot kulde
Normen spesifiserer krav og testmetoder for å etablere plagg eller antrekks isolasjonsevne til å beskytte brukeren mot kalde miljøer tilsvarende eller lavere enn -5°. Normen angir også den laveste temperaturen der nedkjøling av kroppen er begrenset til et akseptabelt nivå i 1 time, mens brukeren er i lett og middels aktivitet.
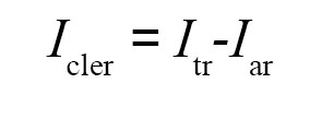
For å oppnå angitt beskyttelsesnivå, skal enten heldekkende eller todelt plagg/antrekk benyttes. CE-merking på plagg vil vise til hvilken kombinasjon av vernetøy man skal benytte. Isolasjonsverdien angis i Icler m²-K/W, med formel:




Det er ikke bare isolasjonsverdien som definerer hvor godt brukeren er beskyttet. Det blir også testet hvor effektivt plagget beskytter mot vann- og luftgjennomstrømning. Vindtetthet blir oppført i tre klasser (1-3 hvor 3 er best), og på plagget vil denne verdien ofte være oppført som AP (Air permeability) 1, 2 eller 3:
AP mm/s | Class |
AP > 100 | 1 |
S < AP ≤ 100 | 2 |
AP ≤ 5 | 3 |
Dersom plagget også er vanntett (valgfri mulighet for denne normen og ikke er krav), vil verdier og informasjon for vanntetthet være oppført under WP - Water penetration. I noen tilfeller vil det på plagget være markert med kun et kryss under verdier for WP, og dette indikerer at plagget ikke er testet for dette. Litt info om WP:


På piktogram/merking på plagg vil alle disse verdiene bli oppført som dette:

